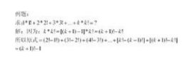
排列组合有哪些公式?
的有关信息介绍如下:排列数公式
折叠排列
公式P是排列公式,从N个元素取M个进行排列(即排序)。(P是旧用法,现在教材上多用A,即Arrangement)[1]
折叠公式

排列及计算公式 从n个不同元素中,任取m(m≤n)个元素按照一定的顺序排成一列,叫做从n个不同元素中取出m个元素的一个排列;从n个不同元素中取出m(m≤n)个元素的所有排列的个数,叫做从n个不同元素中取出m个元素的排列数,用符号 p(n,m)表示。 p(n,m)=n(n-1)(n-2)……(n-m+1)= n!/(n-m)!(规定0!=1)
折叠符号
1、C-组合数
A-排列数(在旧教材为P)N-元素的总个数
R-参与选择的元素个数
!-阶乘,如5!=5×4×3×2×1=120C-Combination 组合
P-Permutation排列 (现在教材为A-Arrangement)
2、排列组合常见公式
kCn/k=nCn-1/k-1(a/b,a在下,b在上)Cn/rCr/m=Cn/mCn-m/r-m
折叠编辑本段基本理论和公式
排列与元素的顺序有关,组合与顺序无关。如231与213是两个排列,2+3+1的和与2+1+3的和是一个组合。
(一)两个基本原理是排列和组合的基础
(1)加法原理:做一件事,完成它可以有n类办法,在第一类办法中有m1种不同的方法,在第二类办法中有m2种不同的方法,……,在第n类办法中有mn种不同的方法,那么完成这件事共有N=m1+m2+m3+…+mn种不同方法.
(2)乘法原理:做一件事,完成它需要分成n个步骤,做第一步有m1种不同的方法,做第二步有m2种不同的方法,……,做第n步有mn种不同的方法,那么完成这件事共有N=m1×m2×m3×…×mn种不同的方法. 这里要注意区分两个原理,要做一件事,完成它若是有n类办法,是分类问题,第一类中的方法都是独立的,因此用加法原理;做一件事,需要分n个步骤,步与步之间是连续的,只有将分成的若干个互相联系的步骤,依次相继完成,这件事才算完成,因此用乘法原理. 这样完成一件事的分"类"和"步"是有本质区别的,因此也将两个原理区分开来.
(二)排列和排列数
(1)排列:从n个不同元素中,任取m(m≤n)个元素,按照一定的顺序排成一列,叫做从n个不同元素中取出m个元素的一个排列.
从排列的意义可知,如果两个排列相同,不仅这两个排列的元素必须完全相同,而且排列的顺序必须完全相同,这就告诉了我们如何判断两个排列是否相同的方法.
(2)排列数公式:从n个不同元素中取出m(m≤n)个元素的所有排列[2]
当m=n时,为全排列Pnn=n(n-1)(n-2)…3·2·1=n!

相关公式




