二次函数的顶点坐标公式是啥
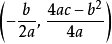
的有关信息介绍如下:(1)一般式:y=ax2+bx+c (a,b,c为常数,a≠0),则称y为x的二次函数。顶点坐标(-b/2a,(4ac-b^2)/4a)
(2)顶点式:y=a(x-h)2+k或y=a(x+m)^2+k(a,h,k为常数,a≠0).
(3)交点式(与x轴):y=a(x-x1)(x-x2)(又叫两点式,两根式等)

扩展资料:
二次函数的基本表示形式为y=ax²+bx+c(a≠0)。二次函数最高次必须为二次, 二次函数的图像是一条对称轴与y轴平行或重合于y轴的抛物线。
二次函数表达式为y=ax²+bx+c(且a≠0),它的定义是一个二次多项式(或单项式)。
如果令y值等于零,则可得一个二次方程。该方程的解称为方程的根或函数的零点。
一般地,把形如
(a、b、c是常数)的函数叫做二次函数,其中a称为二次项系数,b为一次项系数,c为常数项。x为自变量,y为因变量。等号右边自变量的最高次数是2。
顶点坐标
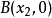
交点式为
(仅限于与x轴有交点的抛物线),与x轴的交点坐标是
和
。
注意:
“变量”不同于“未知数”,不能说“二次函数是指未知数的最高次数为二次的多项式函数”。“未知数”只是一个数(具体值未知,但是只取一个值),“变量”可在一定范围内任意取值。
在方程中适用“未知数”的概念(函数方程、微分方程中是未知函数,但不论是未知数还是未知函数,一般都表示一个数或函数——也会遇到特殊情况),但是函数中的字母表示的是变量,意义已经有所不同。从函数的定义也可看出二者的差别。
参考资料:百度百科-二次函数



