经济数学基础第二分册,线性代数课后答案 龚德恩 修订第四版
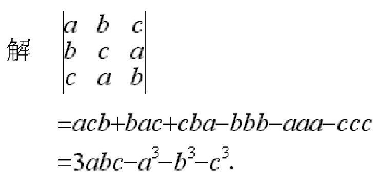
的有关信息介绍如下:第一题:

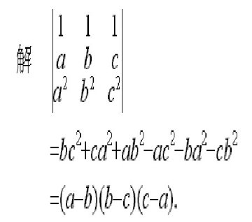
第二题:

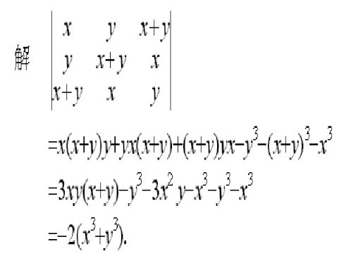
第三题:

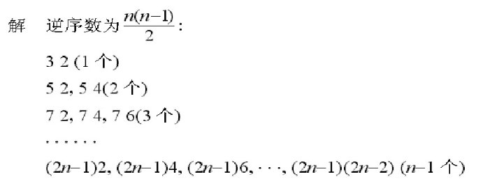
第四题:

第五题:

这部分内容主要考察的是线性代数知识点:
线性代数数学的一个分支,它的研究对象是向量,向量空间(或称线性空间),线性变换和有限维的线性方程组。向量空间是现代数学的一个重要课题;因而,线性代数被广泛地应用于抽象代数和泛函分析中;通过解析几何,线性代数得以被具体表示。
线性代数的理论已被泛化为算子理论。由于科学研究中的非线性模型通常可以被近似为线性模型,使得线性代数被广泛地应用于自然科学和社会科学中。
线性关系意即数学对象之间的关系是以一次形式来表达的。例如,在解析几何里,平面上直线的方程是二元一次方程;空间平面的方程是三元一次方程,而空间直线视为两个平面相交,由两个三元一次方程所组成的方程组来表示。
含有n个未知量的一次方程称为线性方程。关于变量是一次的函数称为线性函数。线性关系问题简称线性问题。解线性方程组的问题是最简单的线性问题。



