同阶无穷小是什么意思?
的有关信息介绍如下:一、x-->0,x是一阶无穷小,x^2是二阶无穷小,则x^3是三阶无穷小。
无穷小量,是极限为零的量,即若x→0时,limf(X)=0,则称f(X)是当x→0时的无穷小量,简称无穷小。同阶无穷小量,其主要对于两个无穷小量的比较而言,意思是两种趋近于0的速度相仿。
同阶无穷小:
如果lim F(x)=0,lim G(x)=0,且lim F(x)/G(x)=c,c为常数并且c≠0,则称F(x)和 G(x)是同阶无穷小。例如:
计算极限:lim(1-cosx)/x^2在x→0时,得到值为1/2,则说在x→0时,(1-cosx)与x^2是同阶无穷小。
例如,因为

所以,在 x→3 的过程中,x2-9 与 x-3 是同阶无穷小。意思是在x→3 的过程中,(x2-9)→0 与 (x-3)→0的快慢一样。

扩展资料
无穷小的比较:
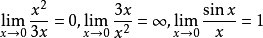
观察无穷小比值的极限:

两个无穷小比值极限的各种不同情况,反映了不同的无穷小趋于零的“快慢”程度。在x→0 的过程中,x→0 比 3x→0 “快些”。
反过来 3x→0 比 x→0 “慢些”,而 sin x→0 与 x→0 “快慢相仿”。
为了应用上的需要,我们就无穷小之比的极限存在或为无穷大时,给出下面的比较定义。
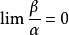
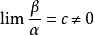
定义,设 α 及 β 都是同一个自变量的变化过程中的无穷小。
如果
,就说β是比α高阶的无穷小,记为
如果
,就说β是比α 低阶的无穷小;
如果
,就说β与α 是同阶无穷小;
参考资料:百度百科——同阶无穷小



